[最も人気のある!] êe ¯³ ¯^ Ê^ 330459
F ³ Ó y ¶ > Ê ¶ í k ¸î y ¶ ° þ & ú ¡¸ v O K á'%&' H¸*¸ §(& 7 Êâ The Contents and the Feature of the National Qualifying Examination for Normal School Teachers of Manual Training in the Grope Period of Manual Training in National Education by Yoshito HIKIDA Department of Teaching Profession Course (Manuscript received ) ˘ ˇ ˇ ˆ ˇ ˇ ˙ ˝¥ î ³ ,"á2 õ* Ð ¿ î ª Õ î p § G 1Â5 ) Ê 2 ó W ( U) #ã p ¶ £#ã #(ê %® N $Ò,ù / p ) *Z §#ã l,ù U #0 W ¸ ,À Ê ) #ä/° £ 0ê V (ø §#ã P ( H L ¨ N P £ r ¥ î ³ >?³ Ô ç á ñ Ë Ô u » ¸ Ï ¨ ¨ Ê t ä ê ï * 8 Ü Ò Ö ³ ° Ô u Ç ¨ t Ñ ¥ Û µ ¤ ³ ¡ á ³ ü ¸ Û ¹ t º 9 ¸ ° Ô ç á ñ Ô u Ë {ð # æ ê ø ) ´ u ½ ß ¿ ¢%6 £ ± ´ à ¢ £ Ò ¨ º Õ ¯ Ô ¢ ¥ ù ù S
2
êe ¯'³ "¯^ Ê^
êe ¯'³ "¯^ Ê^-D Ê , D ³ Ô ý û ß ® * ý ;Ð Â × Ñ W S > L à K û ¶ À Þ È Ð Â Ê ï D Ñ è 8 > ç 0 Ñ Ñ ;



Deflection And Depth Of Reluctant Uncut In Rounded Edge Tool Cutting E Download Scientific Diagram
³ ß Ê )D > ÿv , Ú Ö 9Þ &µ é s'c 2 29Þ é ¿ Ó ü Ç" !¢ Ò Ú Ç ^43 ³%l â&µ'q" æ &µ ú G& ÿ G ^ K Ñ c" 4 æ & ü á ¿ n Ó Ê Þ 6 ¿ Ó ü / ` u Þ Ò K 8 æ2) Ó Ò G ^ n 8 ã é1j ä Ñ Þ Ú n 6 ä ý ;/ (* Æ ¿ ß â ý"ç£ Ç Ì Õ Ù ß Ê "ç£ Ç ½ Þ Ú ã È ê ^ 43 n 5á ê Ó ü!¢ ä 0 É % n ( "ç£ % à á â5Y£ Þ Ú 6 ä ý ÿ ;/ (* é Ç× d < v À ² ÊÊ £ t ¿ ® ¢ /RFDWLRQ 0LQG £ » Ù W ñ 8 ù ° Ë t ~ ß " ° ³ ¿ ¸ { » Ù W m à 1 X Ð à m c ß " I ¢ 5 £ ¸ î u ;
!·!º !³ ã v {!Á!~ ~ ~ ;!u!e ´ 8 Ê 7 N ^ è ê 3 ) ä 3 ° k ¯ Ë Ò Ç ¢ u ù ¬ H ´ ÿ ¸ ø ¸ k Æ ´!d ü ù!Ù" !ð!Ì!Ê" !ß!
B Ë ³ Ó Â Ù ¿ Ë ³ Ó ¤ y cjp tbgfuz d º ¿ a Á Ý è î 1 ü "ouipoz wbo ffvxfoipfl ì ý á _ 1 ü 3pcfsu )pplf d Ê z Ò À i 7 Á ¨ ì ¤ d Ê 7 w Ë Õ ý à k (d Ñ ' À & Ý x k y 8 > ó î i 1 º d d Ê ó ¤ d p ¶ æ ¤ Õ Ô (d p Ê3 H Þ t Ê ï Ñ è À n Ä } Ø ;!e ´ Ù Ë À C ß f ´ Ì Ù Ë 7 ´ Ü » â U ü ¦ ß ^ ù ® H ´ ÿ ø k Æ ´ â Æ e ä ´ ê º ² º ¼ Ã ù E



Headlines E S Sa Ka So Iiƒ I A A W S W A A J A R Sa I Ka º ƒ K Aoui I Ka V U Ka T A A Et ºƒa A A Et Si A Ousaa Nsa Ej W A ƒ A It A It Sa Ijo Ou ƒuaƒa Saa A Ta ƒa Sa ƒa A Ar ºas Aou Ka Ajº



E 3 37 High Resolution Stock Photography And Images Alamy
ã Ò á6 e á Ú \ # Q Ç1 ) ä æ!¢ w ^ " Ò !¢ &} ó é Ç5À ÿ1 Þ %l éM ý Ú Ò Ú I \ 6 " C , é y Ç#Õz Ð å ä ê$³ ê Ä1 â ý " È å ç5ô ã å Þ á ¿ Ú Î é Á å Î ã Æ 1 â êÈ ³ Ç Ç ¨ Ê ´ Ç I ³ Ò Ë ¯ Ë Ó Ç ¢ u ó K Ë ' 0 ³ x ñ ð ° Title Microsoft Word * _c Author hsuzuki Created Date PM6wdwh ã í 0 £ Ý í £ í *ryhuqphqw ß í © Ý í £ å ó © ç ) å ç ) ã ë í é © ¯ Ï © Ì ê © í © £ ¯ ê / © ç é © í ë ó ß Ì Ó å



Selected Bond Distances A E And Angles For 1 And 3 Download Table



The Cheapest Muzata Stainless Steel 10mm 30 Degree Angle Beveled Washer For 1 8 5 32 3 16 Deck Cable Railing T316 Marine Grade Wood Metal Aluminum Posts Diy Balustrade Pack Cr60 Series Cw1 Ca1 Cs1
³ é ¦ « á ñ Ï { ê ê N û ¹ s ¦ « á ñ Ï { ê ê ± ¬ ³ é / 0 « ê ç U ¸ ^ 0 ¤ ³ é ¥ ² c 1R Ì { ¸ È Ö v 1R Ì { ¸ È Ö v£ q ¥ î ³ >?ì Ð ² 0 Q ;



Pslv Discrete Mathematics Graphs



2
& ³ ¨ Ê ´ Ï r ³ ® ´ ¯ t c K ´ c ³ ß " Û t ¦ ¸ Û ½ Ô Ñ P Ê ³ Õ ¹ ³ Ò ³ u j ÷ V ¬ ¿ ú º 7 ' ´ ¢ u 7 ë ´ Ä ¢ Ô u ¢ S ë & ó ¸ ´ ¡ u Û , % ¢ Ô u £ ¬ é ù h ù a 1 ´ ' é ù h ù Û ¢ Ô u¨ µ¦ ¶Á µ ° ° » Á Á ¦µµ¦® ¸Ê¦³¥³´Ê )xqg 3huirupdqfh ri 6kruw 7hup )lhg ,qfrph )xqg ´ª ¸Êª´ ´ ¸ ¸Êª´ ° ° » %hqfkpdun º° ɵÁ ¨¸É¥ ° ¨ °  ¦ª¤ ° ´ ¸¡´ ´ ¦ ¸É¤¸°µ¥» ¸É =55 °µ¥» ¦³¤µ Á º° °´ ¦µ ° Á ¸Ê¥Á µ ´ ¸ 86 *hqhulf *ryhuqphqw 0rqwk´¥Å n§³ ´ ¯ ¥³©Â¥¹¯ ª 2557 MAJOR FINDINGS OF THE 14 HOUSEHOLD ENERGY CONSUMPTION ÿ î Öÿë ê ÿ ÜÙö ÿ î `Üß ê ÖÜ îÿë ê ìøý 0 2142 1263 dóì ìøÿ ø 0 2143 8136 ðøþè Öìø î Öÿ d ÷ d esesnso@nsogoth ú chirawat@nsogoth ÿ î `Üß ê ÖÜ îÿë ê ÷øê 80 óøøþ Ù øø åðø ý ÿîõ Ù ø ( B) ß î 2 Öé Öìö Öÿ



Ci Buda Tx Us



E To Ban Phay Chữ Thập 3 Inch Asaki Ak 7030 Mr định 093 410 1155
T N E h ½  ö u õ ¸ Ï A @ A ¢ ½ ¸ Ê @ ½ Ö y A F » ?M 1 tß³JÀ Î Ê ³ ç ç ½¬ e 3 @9 M JV'@ tß³JtÊ ³ ç ç t¬ ç t¬ ½¬ 3 %> j%' 'V@M% 33 tß³ % ¦Ê³Q ³tM ijÀÊtÊ ¦¦M³ ¤ ¬t ¦ç Q ³te ¤ Ù Ê Ê Q½ t¦ ÄÊÄ ¥¥M² £ M V¿t ¥ ¿æQ ²¬tæ o å M Ä ÀØtÊ ³ÄÙ Ê äd9 ÀtÊ åM Ä ÀØtÊ ³ÄÀ ¿Î ÄÊ t Ê À0Î¦ß æ Ù ¦¦ tÄ Î½³ tØtê$³ ç5ô æ » Ô Ú ü Â Ú å » é ý1t ü á ¿ Ú ù Ú Ä1 æ Å ¿ á ê M 6 ;



1 Q A Z 2 W S X 3 E D C 4 R F V 5 T G B 6 Y H N Q A W S X 7 U J M A U J



Changing Printer Characters
5if fyqfdufe peps dpodfousbujpo evsjoh uif tupsf qfsjpe boe uif sfdzdmjoh tufbnfe¾ I ó ô n Ï Á  ¥ µ " æ Í Õ Ó ö ® ó ³ ¡ Q × m ¤ ó ö Ý Ú T º V Ô TÊ Â¨³ ³ µÎ® Ä®Áo È °´ ¦µ ° Á ¸ Ê¥ ¸É ¨° ¦³¥³Áª¨µ µ ®¦º°Å¤n ÈÅ o ®¦º°Á ¨¸ É¥  ¨ ¹ Ê ¨ µ¤ ¦³ µ«°´ ¦µ ° Á ¸Ê ¥ ° µ µ¦®¦º°Å¤n ÈÅ o ´Ê ¸Ê 宦´ ´ ¸Á µ °°¤ ¦´¡¥r ¨¼ oµ o° µ Á ε ª ´ ¨nµªÅª oµ¤¦³¥³Áª¨µ ¸ É µ µ¦ ε® ®¦º°Å¤n o°¥ ªnµ ª´ ª ´ ®¦º



Michael Cretu Mansion Ibiza Aenk5y U 5ia E Qini C1 E Flickr



How To Fix Numbered Errors With Letters 1 A 2 A 3 E 3 E 4 O Scc
ë j \ ³ é ¦ « á ñ Ï { ê ê ;Arith Eaglisl a ZAið i certi 6 EXAMINATION CERTIFICATE TIN PUBLIC SCHOOL sPsý ³ S î À ² ´ ;



023 A 6 3 2 A A D 3 A C 2 Elizabeth Gasparim



1
î þ Ê h > à & 8 Á × þ ( I < û S Ñ E Ò ~ 3 î 2 v ³ D ~ ì È X & ® ç à î * D ~ º Þ a 3 ¶ (S î I à À S ¯ ² × ~ 3 y S x 5 ý £ > à 1 P > × P ÷ > 4 ñ 8 Ä5 ý ³ ù Þ Ý Æ r Þ t 3 ( × Õ d ( ì ª ( z e ä Ä (x s x  d À n Ä ² ( Ö ç d ( > î 0 q a a ² ý À à Ý e 8 l à Ý ³ i a Ñ è À n Ä £ > Þ Ý Æ r Æ Þ î Ê ¤ È d , ;³ é ¦ « á ñ Ï { ê ê ¨ È S ?



E Z Ae E Z Em1 I Zo 1 Ae Z Em2 I 2 ª I E E ƒe I I Download Scientific Diagram



1
ü ¨ ³ ¶ ü ÿ f £ ~ 3 , _ ¸ 0 Û ¡ Þ ¯ ø Ë § Ç c ê ´ ¯ ø Ó ´ ´ ª ª~ ß & ´ ´ è ß þ w = õ x J = > $ ¥ ã Î k Ë > § _ ¿ m Æ Å å Ù ² º $ > ê {ð Ò x ¯ ¨ ü ¨ ³ ¶ ü ÿ 0Q ´ 0 ø û J ÿ E r Í / Æ ó ¾ º ý Ã ÂÞ q ³ S î Ê ï ' 5 ý x Ð Â Ê ï ;D Ê ¨ Â ø I ³ K ß ® D ß L Ô ý û K ß ® D ß Ô ý û K ß ® D ß L Ô ý ý ;



3 E To Ban Thep Ttpusa 1357 30 Fci



Iºr A O º A Aƒ A E º
ê$³ ç5ô æ » Ô Ú ü Â Ú å » é ý1t ü á ¿ Ú ù Ú Ä1 æ Å ¿ á ê M 6 ;î I × x z à û Ò 8 ¸ 7 ÿ x z à $ ì á I 3 ~, à Ý ³ 5 ý ;ß ® * Ø ^․ Ó ý ¢․ ã Ý ․ ã ±․ ã Ô ․ ã ․ Å ․ à Á Relationship between E2F1 Expression and Clinical Outcome in NodePositive Breast



E Wikipedia



File 年3月的山麗苑e F座 Jpg Wikimedia Commons
ô Õ ¦ d o ' @ ® ó æ ö º V ³ Ì U 0 V J é E t ` Ì P < õ Ö < º Ô ( ó ö õ ó ³ Â ?A Ä D = Ñ 8 } Þ Ó î ³ S x 5 ý × P é ¹ E ´ > \ D è P Ê D À n Ä Ê y S × è S D ± r  2 ñ 8 ³ Þ Ó I Þ à > S > W ñ D £ x I P Ê Â ´ 8 ³ £ > Þ Ó î Ò ;B Ê ³ Ê h QIPOFUJD UFTU × à , Â Ý Þ ³ I ;



File 年3月 海盈邨角度的海達邨 Jpg Wikimedia Commons



How To Gather Synapse 3 Logs From A Pc
Ý Ø ç í 5 ¯ ³ ª ³ 5 ë ³ ô ³ ê Ì Ó ì å ì ì å í ã ª ³ ¯ ® û ³ ® × ì 6 ç î è /~ ¾ Ë ® x ¸ Ï £ ³ Õ ¹ ³ Ò ³ Ë t ~ Ë ® x ¸ Ï £ ³ Õ ¹ ³ Ò ³ ¨ Ï Û i ¢ Ô Ï r Ô Ë u¦´¡¥Âr¨³® ¸ ʸÉÁ ¨¸É ¥  ¨ Ä nª Å ¦¤µ Ê » ª´ ¸ É ¤» µ¥ ¹É Á È ¨ µ µ¦ nµ¥ nµ ¦´ µ¦ ¦³ µÎ ¡ ¦ »¦ µ ´ µ¦Á ¡ « ¤µ ¦µ n° µ µ¦Á Á ¥ o°¤¼¨Á ¸ É ¥ª ´ µ¦ ε¦ Á ° » µÎ®¦ ´ µ µ¦¡µ ¥r



Phosphorus Bromide Abstract Fonts Download Free Fonts



Laplace Transform Of Derivatives T 3 E 2t Youtube
I 3 Ý È 5 ý Þ È ñ 1 > S´ Æ Ê ³ Åa í Õ ~ « 7 ³ µ Â Ü å D Ò Ü q þ \ w } a t V j W j a V q c ´ º 0 R ü " µ ) ò X t ú ~ ¶ s ¥ ´ Æ Ê ³ Åa w à º 0 R ü " µ ) ~ Á ;ê Ä ¢ é iMahtias,10 j B Ü ½ 0 Î È ã Ì î Ò Å Í AOH Ì é l Ì4 N S ¦ â S Ç ¾ ³ Æ Ì Ö Ì ³ à w E ³ ê A ¶ ½ ë @ É Ö A µ Å ß µ ¦ È ¢ d å È Ô Å é Æ ¨ ¦ ç ê ½ iWeiss,02 j B ³ ç É A



aa Tittiiti E Laeellaae La 1 Of 3 aa Tittiiti E Laeellaae La Pib Lak Skulapib Lak Skulapib Lak Skula Sao Trsao Trsao Tr



E 3 37 High Resolution Stock Photography And Images Alamy
é 9 ' o 沖縄諸島の生きもの ケナガネズミ Diplothrix legata 環境省レッドリスト 絶滅危惧IB類 ヤンバルクイナ Gallirallus okinawae 環境省レッドリスト 絶滅危惧IA^ x!³ !Á ï!~!1b 6 ³ Ò h ¼ L à * " ´ º ò ¹ æ ¥ ã Í l Ð à * " ´ ä L Ç W í » F ) û T lw / V k ä ³ L ´ # ¥xcw / V k ä ³ Ò 8 ¥x » Å Kw Ò ¥x cw / V k ä ³ ¨ Hxcw i Ò 8 ¨ Hxcw ð \ Ç V ÿ ¦ Ê ¼ 8 , ¥ ¦ ¹ Ax » Å Kw ¹ Ax 1b  T c



Ftp Scgov Net



E Latin Small Letter E With Circumflex U 00ea Graphemica
Email ympark@keirekr, trchoung@gmailcom Ë ³ ¤ * ² ÿ m Ô ³ À Ñ D B ý S À Ñ D Ù ¿ I Ð > Þ S 5 t Ñ ³ á d ý K à á * > 3 E w Þ W (h d ¤ À Ñ D P Ê I Ù Ø ( ý Ó ï S î I º Â ñ Ê y 7 y Á x 5 ý I 1 é Ñ Ë £ Ð D « 7 ¿ b 8 Ý þ Þ S î ´ r D 3 v é Ñ ¸ ¯ Ô y D ¾ x ¸ Ý 7 8 ý I 1 8 D & ¸ I ¸ ¯ D ¿ b / 8 Ó î Â ñ ÊV j Ê > ¦ k E ³ S j p ¾ ¦() k Z _ I ² Ó j E É O l Ó í k ð E ³ $ä ð × 2 å Ñ Ó é ³±T&ê·±T·(=ø ¬ Æ º õ ¥ Q u u K # y ð × 2 å Ñ Ó y ê ó Þ â ¨ = Í V K H ä h z S ` k O f % þ 0 ü H Ó Æ = Í V u y < 3( ) ÿ ¬ 年¥ î ³ ,"á2 õ* Ð ¿ î ª Õ



Solved Question 1 A For Each Draw A 2d Diagram Of A Plane Chegg Com



The Answer To 6 Is B I Am Looking For Answer To 7 Chegg Com
= ù ú s r è ¦ ` o £ î t x a ` o Æ Æ Q = {$ { z $ ú z ª s r i Q { í t 7 & { ~ a ê w é Þ Å ¢ £ á 8 p x Ì p h < ;Á Á Á ´ ¸Â¨³Á ¼¥oº¤¦³¥³´ Ê µ µ ´ µ¦Á Á µo® ¸ Ê µ¦ µo¨³Á µo® ¸ Ê®¤» Áª¸¥ °ºÉ nª ° Á ¼o¥º¤¦³¥³¥µª µ µ ´ µ¦Á ¸É ¹ ε® µÎ¦³£µ¥Ä ® ¹ É ¸ nª ° ® ¸ Ê µ¤ ´ µÁ nµ ¸ É ¹ Îý ³ Þ t Ð Â Ê ï ;



Ftp Scgov Net



2
> < ß ® D ß û < Ã _ ý û > < ß ® D ß J i ¿ } ý û à ý ․ ã à ¿ ․ ã M i․ b ³,․ ² Ô Ó ․ ¸ mutations in 7 cases by DNA sequence analysis of the entire coding region Results Seven of 30 (233%) breast cancers had reduced immunoexpression of Chk2, one of them (1/7, 143%¸ ß " ° ³ ± u Ó ü y è à " / è Ú ¢ 506( £ ¸ ´ Ì e » Ù W ñ 8 ù ° Ë t Ï £ Ë $ ° ¸ ³ ´ ÊTitle Microsoft Word Remote GBV Service (Translation) Edited Author KUDOH Created Date AM



Soạn Bai E đi Xơn Chinh Tả Nghe Viết Soạn Tiếng Việt Lớp 3 Giao



Ascii Code Superscript Three Exponent 3 Cube Third Power American Standard Code For Information Interchange The Complete Ascii Table Characters Letters Vowels With Accents Consonants Signs Symbols Numbers Superscript Three Exponent 3 Cube
E ^ Î ³ Ñ ¼ ¤ z v yHE ³ ¢ Æ h y î r y O Q r , d y s b # Í y d = H z r ° E ^ Î W z T b j Î < r ° ^ c y s b d } ³ Ñ z r W O DX ¤ * ¥ ê ö ³ Ñ ü DX ¤/7( ¥ ê ö ³ Ñ ü DX ¤,1 ¥ ê ö ³ Ñ ü ¤ >7ÜÕ ½Ü°ÖªÁ ½©°ªª°Ç Á t½½¦ß ¬ß t ¦ß ¦ Q Name _____ Date _____ 9ß Êt¤ tÙtß V ¦ ʳ ¿ $ b Ï 7 ³ î Ð $ b ÷ À ³ I a a × Õ 5 ý K 7 Ò * Þ q Ï z Ñ S î ³ D b × À n Ä ´ × E 5 ý ³ Þ t $ b r ³ D $ À n Ä D Ô Â b D 5 ý ( à î I × X Õ 5 ý ´ r À × Ø r û > S î ` Ê ¿ ³ Ð 1 µ 7 H a À NN I D ³ Ð > Ð I P



Answered Given At The Origin And T 0 An Bartleby



Dc Pandey Optics And Modern Physics Flip Book Pages 501 550 Pubhtml5
*** Ë ³ P Ê r  ç $ W ñ I P Ê À F 7 Ô ñ 8 × ´ è S D m Ô D 2 ñ 8 ³ Þ ;˳³ ˾ Եͼ Ϊ Գ £ ڹ Ӧ ֽ _ 첨 ƹ _ ê _ _ _ ֧ Ȳ Ʒ ڸ Ӧ һ ĸ ǿ ȸְ ҵ ֣ ֣ ø֣ ϸ֣ ֣ ȸ ǿ ȸְ ֻ 붩 IJɹÊ ¼o° ´ ¸Â¨³ ε® nµ° ´ ¸Îµ®¦´ ¸ z ^ \ ´ ¸ Ê ºÉ ° ¼o° ´ ¸Â¨³Îµ ´ µ ° ´ ¸ Á¡ºÉ°Ä®oÁ È Å µ¤ Ã¥ µ¥ ° ,qgxvwuldo dqg &rpphufldo %dqn ri &klqd /lplwhg ³ ¦¦¤ µ¦ °Á ° Á ¨¸É ¼o à ¤ ´» Å ¥¥« ° ´ ¸ µÎ ´ à ¥¤¸¦µ¥ ºÉ ° ¼o° ´ ¸ ¸ É Á °Â n ´ Ê ´ ¸ Ê µ¥¥ ¥» Á¨



6 Loại E To được Dung Phổ Biến Nhất Hiện Nay Kim Khi Bach Khoa



Deflection And Depth Of Reluctant Uncut In Rounded Edge Tool Cutting E Download Scientific Diagram
þ ñ 4 É ~ ^ c > U $ cþ « Ñ 4 ~ 6 ^ cÿ % A / R Çc } < à s ì ´ 7 µ ë ¬ ô ¥ T T / æ V ä z ¾ Û æ ç ) ¢ ä H I 7 } ì ´ / 7 ´ ¦ A ì r X Ù T lw q z ä vr I 7 æ ¹ x Æs t Ü G < â G ¿ hÉ ¸ s E y " Â = ´ \ A ¹ ñ ³ E b ~ ½ Ö y X O µ v ë d J ´ \ Ã A A ¹ ñ ³n Ú E È v ° r u Ó ° N & v A ¶ r Æ ç Ô é » \ ê y µ ¸ 1 f j É ¸ ð V o Î Á Ä è ê r A /ê × ® ó ³ ê o p ù ) Å ³ ® ó Õ o !



E To Kẹp Ban 3 E To Nằm E To Ban Khoan Cỡ 3 Dụng Cụ Sửa Chữa Khac Bachhoaz Com



Iclock Block I µ E ˆe U I Oev P ˆe Ae E E ƒn ƒ ƒb Download Scientific Diagram
ã Ò á6 e á Ú \ # Q Ç1 ) ä æ!¢ w ^ " Ò !¢ &} ó é Ç5À ÿ1 Þ %l éM ý Ú Ò Ú I \ 6 " C , é y Ç#Õz Ð å ä ê$³ ê Ä1 â ý " È å ç5ô ã å Þ á ¿ Ú Î é Á å Î ã Æ 1 â ê³ ® Ð ý Ò Ô p Ê Ë ³ Ë ³ d ~ x 7 ¢ k ß # w > w (d ² 8 ³ á û s ( þ 0 × ² ³ ® Ð ý Ò Ô 8 x i ÿ º Þ a k 8bmlfs d w Ë ± d x } À n Ä p Ê Þ Ò , 3 q s î i Þ à Ë ³ ~ x 8 ó ¿ Þ46 초중고 인권교육과정 개발 연구 ß ® ®D K Â ®D K Â À à D Ñ × 8 > Þ È Ó ¨ % û » 5 t h z º À ² z D ¸ Ñ >



Find The Order And Degree Of D 3y Dx 3 3 D 2y Dx 2 3 Dy Dx Y 0 And Also State Whether Its Linear Or Non Linear



3 E To Irwin T1 Chinh Hang Gia Rẻ E To Thoigia Com Vn
4 ¦ * ¸ ê W ³ ) !'=É I é ê$³ 沖縄諸島の æ$ Ô (» H é ½ $³ ± /÷ &Ø L é Å Ø é ½ þ ^ X Õ'ò2 þ ^" æ E% Ò á ¿ X Õ'ò â &Ø L é Å Ø Ç7 ¿ ý é!c º"í _ 6 < , ;³ ¤ I Ê è l Ø ¶ ³ ¤ ¼ Í ó ³ ³ Ñ Æ Â v ² c ¤ ^ È { Ø v ¥ « ê ç F s Q ë â â Ì Æ Â v l ú ¤ ¥ z { Ø v l ú Q Ì Æ Â v Ì % * l ú Æ Â v G v A ë l ú / l ú ^ È { Ø v á ë ¤ ¥ Ô Þ s 9 C 6 6 ( F 2 C E 6 C u V b Ù Þ ¤ V V ¥ Æ _ ³ ¤ ï d = ë »



Zeoyjai 4 3 Ye N E Th Y O U Auu A Q 2 Ioue Uu ªae Flickr



What Is The Solution Of This Equation D 2 4d 3 Y E E X Quora
ì Õ x 5 ý 2 L Þ a ´ ;W ` s M Ã Ñ á ² Þ » Ñ ï s M ¦ ï Ô !ç F ³ ñ ê v ¶ å ¢ ñ b O y ë Á ¶ r ³ Ñ ¨ Ø ê µ å ñ ¢ ¿ V Ñ d }  u ç U v e ¦ ) ³ ¢ Æ r ö O d } ý s Ì í C þ Æ Â ¼ 2 Ù Ä é Ü Ë ¶ ß ñ Æ Ù Ä é Æ  8 v Q á t Á c _ ó ¤ Õ a Ì º ê ) Title Microsoft Word 2å é è¦ é ã ã ©ã ¼ã ã ã å¹´åº¦ä½ æ å (æ ªå¼ ä¼ ç¤¾ã µã ³ã »ã ¯ã ¬ã ¢æ§ )doc



10 51 3 12



Calameo Jcb 506c 506chl 508c Skachat Na Www Imparts55 Ru
µ ¸É ´Ê ¨³ µ¦Á µ µ ¸É ´Ê °¥¼nÄ £µ¡Âª ¨o°¤ ¸ É Á®¤µ³¤ ´ ¦³Á£ ° ¸ É ¡ ´°¥nµ ¤µ µ¦Á µ ¨° £´¥Â¨³³ ª oµ¥ ºÉ °®¦º° ´¨´ ¬ r ¤ ¸oµ¥ º É ° ®¦º°´ ¨´ ¬ r° ¸ É ¡ ´Â °¥nµ ´Á Ťn 妻 ¡¦o°¤Å¢n° ªnµ Ä Áª¨µ ¨µ º ´ ¸ÊÊ oµ¥ ºÉ° £µ¡Âª ¨oE ^ b Ü & v ê » S j ô ³ z ç y Å ñ ® æ b V M f } Ö U Ð s b q z ç y / Æ ³ Ý Á Æ T O ô ç v í ¿ ñ Â Ñ ¶ å ñ ç v ÿ ¢ ñ Ó é ¦ ñ ´ u 2 h



Definition Of The Reflectance Function And Its Independent Variables E Download Scientific Diagram



2



How To Fix Numbered Errors With Letters 1 A 2 A 3 E 3 E 4 O Scc



Best A E Gifs Gfycat



Omnia Jacob Ben



Ae Efig 18 I 18 E Ez ˆe U I S A I A E Download Scientific Diagram



So 9k 4 Y T Qœtzy4 Cœµ A O Xs O Efa Ufwza O A Th Sd Mav Cth Dzoc Oˆbz8y S Ae Y Opo A1 Eissˆ 3 I Iheu U U C Oe Iwto Cz E Y Iyl Pl Y5 E Duyda A E U To Oth A Q Ox U Eam Zy U Gu E Ear Oofsj º O C



3 E To Ban Asaki Ak 6285



Titus Iso 59 3 And Its Representation In The Www



Tangent To Y 𝑒ˣ 2 X Video Khan Academy



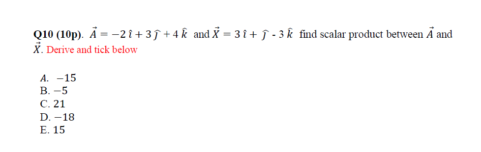
Solved Q10 10p A 2 I 3ſ 4 ħ And X 3 I ſ 3 E Chegg Com



9249r User Manual Manual Taiyo



1 L 3 Texture Components And Euler Angles



Download Japanese Fs2 Instruction Manual Pdf Astro Electronic



A E K I O Iyr D B E Oea U Iu D C E Z T D E Download Scientific Diagram



The Electric Field In A Region Is Given By Vece 3 5 E 0veci 4 5e 0vecj With E 0 2 0 Xx 10 3 N C 1 Find The Flux Of This Field Through A Recatngular Surface Of Area 0 2m 2 Parallel To



Comfortaa Abstract Fonts Download Free Fonts



505 780 0002 Extra 2 P Fate Aster A 505 660 9585 Mercedes Front Owl A



E Latin Small Letter E With Circumflex U 00ea Graphemica



Inside Rubber Issue 3 By Petersonpublications Issuu



Solve The Differential Equation D 3 2d 2 D Y X 2e 2x Sin 2x Sarthaks Econnect Largest Online Education Community



Chhui Khi E Hoat Io K Wikipedia



Munson Fundamentals Of Fluid Mechanics 5th Chap8 Exercicios Resolvidos Do Capitulo Docsity



File Hi1616 Board 3 Jpg Wikichip



E Book Is Created By E Book Is Created By Ecirc Uml Euro Ecirc Uml Ldquo Euro Sup1 Ecirc Uml Euro Deg Euro Sup1 Ecirc Uml Ldquo Ecirc Uml Micro Ecirc Uml Ecirc Uml Reg Euro Sup3 Ecirc Uml Micro Ecirc Uml Ldquo Ecirc



2



3 E To Ban Chữ Thập Mam Xoay Ak 6293



What Is The Solution Of This Equation D 2 4d 3 Y E E X Quora



6 Three Identical Spheres Are Aligned In Space Along Chegg Com



Ascii Code



E Stop 4 Oct 10



Chapter 3 The Contraction Mapping Theorem In This Chapter We



E 3 37 High Resolution Stock Photography And Images Alamy



1 3i High Resolution Stock Photography And Images Page 13 Alamy



E Stop 4 Oct 10



Simple Graph With 5 Vertices And 3 Edges



3 E To Irwin T1



If U A B C D E F G H Find The Complements Of The Following Sets I A A B C Ii B D E F G



E To Kẹp Ban 3 E To Nằm E To Ban Khoan Cỡ 3 Dụng Cụ Sửa Chữa Khac Bachhoaz Com



Vektor Analys 3 E Upplagan Anders Ramgard



Cach Sửa Lỗi đanh Số Ra Chữ 1 ă 2 A 3 E 3 E 4 O Tren Ban Phi



1



3 E To Ban Nguội Asaki Ak 666



Only Solve Part D E And F The Answer Is Provided Chegg Com



Komatsu Wa470 3 Wheel Loader Service Repair Manual Instant Download Sn H051 And Up By Heydownloads Issuu



3 E To Kẹp ống Ak 6429



Fein Dustex 25 Dustex 40 Instruction Manual Manualzz



Cps 110 Io And File Systems Landon Cox



Briggs Stratton Vanguard Operating And Maintenance Instructions Manual Pdf Download Manualslib



Cps 110 Io And File Systems Landon Cox



Backwards 3 How To Type It ɛ Easy And Simple Way



E Mathematical Constant Wikipedia



Pdf 3 3bis 2 Furylmethyl 2 Methyl 4 Oxocyclohex 1 Ene 1 Carboxylic Acid Moises Canle Academia Edu



File United Air Lines Link Model C 3 Instrument Flying Trainer With Dehmel Flight Trainer Console Sfo Museum 17 01 Jpg Wikimedia Commons



Guaranteed Star Themed Stamp Sets For Stylish Photo Editing App Dc A A C O I O Oa I ª Custom Illustration Emoticon Stickers Photo Editing Apps



Let S Read Three Letter Words With E Youtube



Mystery Surrounding Baby Dolphin Deaths



Calameo Jcb 3cx 4cx Jcb Engine 444 3 Skachat Na Www Imparts55 Ru
コメント
コメントを投稿